chapter-four/0500~0599/0543.Diameter-of-Binary-Tree
543. Diameter of Binary Tree
题目
Given the root of a binary tree, return the length of the diameter of the tree.
The diameter of a binary tree is the length of the longest path between any two nodes in a tree. This path may or may not pass through the root.
The length of a path between two nodes is represented by the number of edges between them.
Example 1:

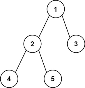
Input: root = [1,2,3,4,5]
Output: 3
Explanation: 3 is the length of the path [4,2,1,3] or [5,2,1,3].
Example 2:
Input: root = [1,2]
Output: 1
Constraints:
- The number of nodes in the tree is in the range
[1, 104]. 100 <= Node.val <= 100
题目大意
给定一棵二叉树,你需要计算它的直径长度。一棵二叉树的直径长度是任意两个结点路径长度中的最大值。这条路径可能穿过也可能不穿过根结点。
解题思路
- 简单题。遍历每个节点的左子树和右子树,累加从左子树到右子树的最大长度。遍历每个节点时,动态更新这个最大长度即可。
代码
package leetcode import ( "github.com/halfrost/leetcode-go/structures" ) // TreeNode define type TreeNode = structures.TreeNode /** * Definition for a binary tree node. * type TreeNode struct { * Val int * Left *TreeNode * Right *TreeNode * } */ func diameterOfBinaryTree(root *TreeNode) int { result := 0 checkDiameter(root, &result) return result } func checkDiameter(root *TreeNode, result *int) int { if root == nil { return 0 } left := checkDiameter(root.Left, result) right := checkDiameter(root.Right, result) *result = max(*result, left+right) return max(left, right) + 1 } func max(a int, b int) int { if a > b { return a } return b }