chapter-four/0700~0799/0783.Minimum-Distance-Between-BST-Nodes
783. Minimum Distance Between BST Nodes
题目
Given the root of a Binary Search Tree (BST), return the minimum difference between the values of any two different nodes in the tree.
Note: This question is the same as 530: https://leetcode.com/problems/minimum-absolute-difference-in-bst/
Example 1:

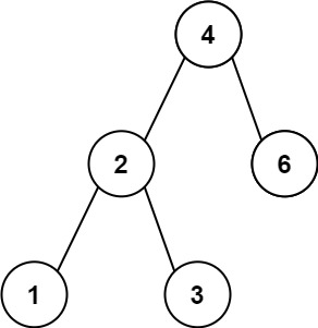
Input: root = [4,2,6,1,3]
Output: 1
Example 2:

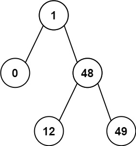
Input: root = [1,0,48,null,null,12,49]
Output: 1
Constraints:
- The number of nodes in the tree is in the range
[2, 100]. 0 <= Node.val <= 10^5
题目大意
给你一个二叉搜索树的根节点 root ,返回 树中任意两不同节点值之间的最小差值 。
解题思路
- 本题和第 530 题完全相同。解题思路见第 530 题。
代码
package leetcode import ( "math" "github.com/halfrost/leetcode-go/structures" ) // TreeNode define type TreeNode = structures.TreeNode /** * Definition for a binary tree node. * type TreeNode struct { * Val int * Left *TreeNode * Right *TreeNode * } */ func minDiffInBST(root *TreeNode) int { res, nodes := math.MaxInt16, -1 dfsBST(root, &res, &nodes) return res } func dfsBST(root *TreeNode, res, pre *int) { if root == nil { return } dfsBST(root.Left, res, pre) if *pre != -1 { *res = min(*res, abs(root.Val-*pre)) } *pre = root.Val dfsBST(root.Right, res, pre) } func min(a, b int) int { if a > b { return b } return a } func abs(a int) int { if a > 0 { return a } return -a }