chapter-four/0900~0999/0993.Cousins-in-Binary-Tree
993. Cousins in Binary Tree
题目
In a binary tree, the root node is at depth 0, and children of each depth k node are at depth k+1.
Two nodes of a binary tree are cousins if they have the same depth, but have different parents.
We are given the root of a binary tree with unique values, and the values x and y of two different nodes in the tree.
Return true if and only if the nodes corresponding to the values x and y are cousins.
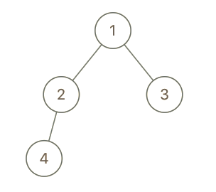
Example 1:

Input: root = [1,2,3,4], x = 4, y = 3
Output: false
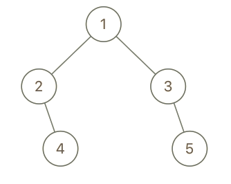
Example 2:

Input: root = [1,2,3,null,4,null,5], x = 5, y = 4
Output: true
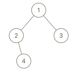
Example 3:

Input: root = [1,2,3,null,4], x = 2, y = 3
Output: false
Note:
- The number of nodes in the tree will be between
2and100. - Each node has a unique integer value from
1to100.
题目大意
在二叉树中,根节点位于深度 0 处,每个深度为 k 的节点的子节点位于深度 k+1 处。如果二叉树的两个节点深度相同,但父节点不同,则它们是一对堂兄弟节点。我们给出了具有唯一值的二叉树的根节点 root,以及树中两个不同节点的值 x 和 y。只有与值 x 和 y 对应的节点是堂兄弟节点时,才返回 true。否则,返回 false。
解题思路
- 给出一个二叉树,和 x ,y 两个值,要求判断这两个值是不是兄弟结点。兄弟结点的定义:都位于同一层,并且父结点是同一个结点。
- 这一题有 3 种解题方法,DFS、BFS、递归。思路都不难。
代码
package leetcode /** * Definition for a binary tree node. * type TreeNode struct { * Val int * Left *TreeNode * Right *TreeNode * } */ // 解法一 递归 func isCousins(root *TreeNode, x int, y int) bool { if root == nil { return false } levelX, levelY := findLevel(root, x, 1), findLevel(root, y, 1) if levelX != levelY { return false } return !haveSameParents(root, x, y) } func findLevel(root *TreeNode, x, level int) int { if root == nil { return 0 } if root.Val != x { leftLevel, rightLevel := findLevel(root.Left, x, level+1), findLevel(root.Right, x, level+1) if leftLevel == 0 { return rightLevel } return leftLevel } return level } func haveSameParents(root *TreeNode, x, y int) bool { if root == nil { return false } if (root.Left != nil && root.Right != nil && root.Left.Val == x && root.Right.Val == y) || (root.Left != nil && root.Right != nil && root.Left.Val == y && root.Right.Val == x) { return true } return haveSameParents(root.Left, x, y) || haveSameParents(root.Right, x, y) } // 解法二 BFS type mark struct { prev int depth int } func isCousinsBFS(root *TreeNode, x int, y int) bool { if root == nil { return false } queue := []*TreeNode{root} visited := [101]*mark{} visited[root.Val] = &mark{prev: -1, depth: 1} for len(queue) > 0 { node := queue[0] queue = queue[1:] depth := visited[node.Val].depth if node.Left != nil { visited[node.Left.Val] = &mark{prev: node.Val, depth: depth + 1} queue = append(queue, node.Left) } if node.Right != nil { visited[node.Right.Val] = &mark{prev: node.Val, depth: depth + 1} queue = append(queue, node.Right) } } if visited[x] == nil || visited[y] == nil { return false } if visited[x].depth == visited[y].depth && visited[x].prev != visited[y].prev { return true } return false } // 解法三 DFS func isCousinsDFS(root *TreeNode, x int, y int) bool { var depth1, depth2, parent1, parent2 int dfsCousins(root, x, 0, -1, &parent1, &depth1) dfsCousins(root, y, 0, -1, &parent2, &depth2) return depth1 > 1 && depth1 == depth2 && parent1 != parent2 } func dfsCousins(root *TreeNode, val, depth, last int, parent, res *int) { if root == nil { return } if root.Val == val { *res = depth *parent = last return } depth++ dfsCousins(root.Left, val, depth, root.Val, parent, res) dfsCousins(root.Right, val, depth, root.Val, parent, res) }