chapter-four/0700~0799/0700.Search-in-a-Binary-Search-Tree
700. Search in a Binary Search Tree
题目
You are given the root of a binary search tree (BST) and an integer val.
Find the node in the BST that the node's value equals val and return the subtree rooted with that node. If such a node does not exist, return null.
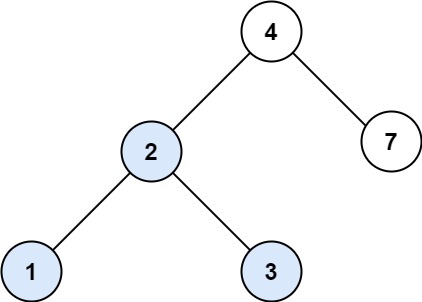
Example 1:

Input: root = [4,2,7,1,3], val = 2
Output: [2,1,3]
Example 2:

Input: root = [4,2,7,1,3], val = 5
Output: []
Constraints:
- The number of nodes in the tree is in the range [1, 5000].
- 1 <= Node.val <= 10000000
- root is a binary search tree.
- 1 <= val <= 10000000
题目大意
给定二叉搜索树(BST)的根节点和一个值。 你需要在BST中找到节点值等于给定值的节点。 返回以该节点为根的子树。 如果节点不存在,则返回 NULL。
解题思路
- 根据二叉搜索树的性质(根节点的值大于左子树所有节点的值,小于右子树所有节点的值),进行递归求解
代码
package leetcode import ( "github.com/halfrost/leetcode-go/structures" ) // TreeNode define type TreeNode = structures.TreeNode /** * Definition for a binary tree node. * type TreeNode struct { * Val int * Left *TreeNode * Right *TreeNode * } */ func searchBST(root *TreeNode, val int) *TreeNode { if root == nil { return nil } if root.Val == val { return root } else if root.Val < val { return searchBST(root.Right, val) } else { return searchBST(root.Left, val) } }