chapter-four/0700~0799/0701.Insert-into-a-Binary-Search-Tree
701. Insert into a Binary Search Tree
题目
You are given the root node of a binary search tree (BST) and a value to insert into the tree. Return the root node of the BST after the insertion. It is guaranteed that the new value does not exist in the original BST.
Notice that there may exist multiple valid ways for the insertion, as long as the tree remains a BST after insertion. You can return any of them.
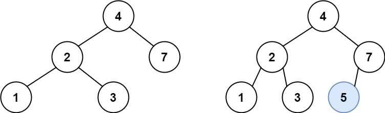
Example 1:

Input: root = [4,2,7,1,3], val = 5
Output: [4,2,7,1,3,5]
Explanation: Another accepted tree is:

Example 2:
Input: root = [40,20,60,10,30,50,70], val = 25
Output: [40,20,60,10,30,50,70,null,null,25]
Example 3:
Input: root = [4,2,7,1,3,null,null,null,null,null,null], val = 5
Output: [4,2,7,1,3,5]
Constraints:
- The number of nodes in the tree will be in the range
[0, 104]. 108 <= Node.val <= 108- All the values
Node.valare unique. 108 <= val <= 108- It's guaranteed that
valdoes not exist in the original BST.
题目大意
给定二叉搜索树(BST)的根节点和要插入树中的值,将值插入二叉搜索树。 返回插入后二叉搜索树的根节点。 输入数据 保证 ,新值和原始二叉搜索树中的任意节点值都不同。注意,可能存在多种有效的插入方式,只要树在插入后仍保持为二叉搜索树即可。 你可以返回 任意有效的结果 。
解题思路
- 简单题。插入节点的方法有多种,笔者这里选择一种简单的方法。从根开始遍历这个二叉树,当前节点的值比待插入节点的值小,则往右遍历;当前节点的值比待插入节点的值大,则往左遍历。最后遍历到空节点便是要插入的地方。
代码
package leetcode import "github.com/halfrost/leetcode-go/structures" // TreeNode define type TreeNode = structures.TreeNode /** * Definition for a binary tree node. * type TreeNode struct { * Val int * Left *TreeNode * Right *TreeNode * } */ func insert(n *TreeNode, val int) *TreeNode { if n == nil { return &TreeNode{Val: val} } if n.Val < val { n.Right = insert(n.Right, val) } else { n.Left = insert(n.Left, val) } return n } func insertIntoBST(root *TreeNode, val int) *TreeNode { return insert(root, val) }